ВАШЕ конкурентное ПРЕИМУЩЕСТВО
Большинство людей проживает до смерти, ничего в себе не меняя.
Многие замирают в степени своего психического развития на уровне подростка или даже ребенка. Это абсолютная правда, и её свидетелем является то безумно малое количество людей, с которыми можно сварить хотя бы какую-то кашу.
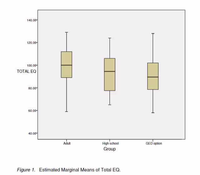
Для понимания, в среднем, около 74% подростков классифицируются как "экстремально эмоционально не зрелые".
Среди студентов университетов же эта цифра становится только хуже - 78%, а экстремально стабильные люди в такой популяции - это ТОЛЬКО 1.6%.
Очень мало. Но если вы думаете, что с возрастом что-то радикально меняется, то нет. Цифры несколько лучше, но не намного. За более точными цифрами предлагаю посмотреть на первый график.

Глядя на происходящее, я часто задавался вопросом...